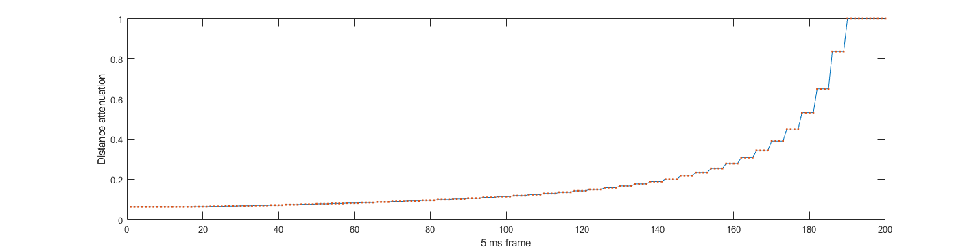
TD renderer distance attenuation uses 20 ms instead of 5 ms update
The distance attenuation is computed based on the listener position in relation to the audio objects, where the listener position is updated every 5 ms. It seems the distance attenuation has become included in the metadata gain parameter, which means it is only updated each 20 ms. See figure below of the extracted gain parameter for a movement from x=-16,..,1 with a source at radius 1 angles 0,0 (NULL metadata position).
To reproduce:
IVAS_cod -ism 1 NULL 64000 48 noise48.wav tmp.bs
IVAS_dec -T ht.csv BINAURAL 48 tmp.bs out.wav
